【印刷可能】 9pi/4 343295-9pi/4 on graph
Find the Exact Value sin ( (9pi)/4) sin( 9π 4) sin ( 9 π 4) Remove full rotations of 2π 2 π until the angle is between 0 0 and 2π 2 π sin( π 4) sin ( π 4) The exact value of sin(π 4) sin ( π 4) is √2 2 2 2 √2 2 2 2 The result can be shown in multiple forms Exact Form প্রমাণ কর যে `"tan"^(1)5"tan"^(1)3"tan"^(1)7/9=(pi)/4`What values for a and b make the system consistent and dependent?
10 3 Polar Coordinates Mathematics Libretexts
9pi/4 on graph
9pi/4 on graph-Practice your understanding of the unit circle definition of sine and cosineEvaluate the Following `Cot^1(Cot (9pi)/4)` CBSE CBSE (Science) Class 12 Question Papers 1851 Textbook Solutions Important Solutions 4562 Question Bank Solutions Concept Notes & Videos 726 Time Tables 18 Syllabus Advertisement Remove all ads



Find Exact Value Of Tan9pi 4 Youtube
Explanation All trigonometric ratios have a cycle of 2π, ie their values repeat after every 2π and we can say for example sinx = sin(2π x) = sin(4π x) = sin(6π x) = and secx = sec(2π x) = sec(4π x) = sec(6π x) = Now sec( 9π 4) = sec( 8π 4 π 4) = sec(2π π 4) = sec( π 4) But sec( π 4) = √2, hence sec( 9πSec ( (pi)/4) \square! Coterminal angles formula To find the coterminal angles to your given angle, you need to add or subtract a multiple of 360° (or 2π if you're working in radians) So, to check whether the angles α and β are coterminal, check if they agree with a coterminal angles formula β = α ± 360 * k, where k is a positive integer
Find an answer to your question "Without subtracting 360 from 9pi/4, how is 9pi/4 equal to 2pi pi/4?Find the Quadrant of the Angle (9pi)/4 9π 4 9 π 4 Convert the radian measure to degrees Tap for more steps To convert radians to degrees, multiply by 180 π 180 π, since a full circle is 360 ° 360 ° or 2 π 2 π radians ( 9 π 4) ⋅ 180 ° π ( 9 π 4) ⋅ 180 ° π Cancel the common factor of π π( 9pi/4, 1) ( pi/6 , \sqrt(3) Answers 2 Get Other questions on the subject Mathematics Mathematics, 1530, karleebowling316 Consider the system y = 3x 5 y = ax b what values for a and b make the system inconsistent?
In what quadrant does the angle whose measure is 9pi/4 terminate?Solve your math problems using our free math solver with stepbystep solutions Our math solver supports basic math, prealgebra, algebra, trigonometry, calculus and moreIdentify the quadrant for each angle 10pi/3 9pi/4 11pi/6 pi/15 Find the exact value (if possible) 5) tan (5pi/3) sin (3pi/4) cos (5pi/6) cot (7pi/6) csc (2pi/3) sec (7pi/4) cos (5pi/2) csc (100pi)



View Question Find The Reference Angle Of 9pi 4



How Do You Find Tan 9pi 4 Study Com
Answer and Explanation 1 Become a Studycom member to unlock this answer! Get an answer for '`(17pi)/12 = (9pi)/4 (5pi)/6` Find the exact values of the sine, cosine, and tangent of the angle' and find homework help for other Math questions at eNotesTrigonometry questions and answers Which point (s) have the same location as the given point You may select more than one (3, 5pi/4) A) (3, pi/4) B) (3, 9pi/4) C) (3, 7pi/4) D) (3, pi/4) E) (3, 7pi/4) Question Which point (s) have the same location as the given point



Solved Determine Which Point In The Figure P Q



The Central Angle Of A Sector Of Circle Of Area 9 Pi Square Centimetre Is 60 Degree The Perimeter Of Brainly In
Convert from Radians to Degrees (9pi)/4 9π 4 9 π 4 To convert radians to degrees, multiply by 180 π 180 π, since a full circle is 360° 360 ° or 2π 2 π radians ( 9π 4)⋅ 180° π ( 9 π 4) ⋅ 180 ° π Cancel the common factor of π π Tap for more steps Factor π π out of 9 π 9 π π ⋅Answer to What is the value of sin(9pi/4)?See the answer the polar coordinates of a point are given find the rectangular coordinates of the point (7,9pi/4) Show transcribed image text Expert Answer Previous question Next question



Trigonometric Equations



Answered 4 Ind The Exact Value Of X In Te F Bartleby
Area = 69pi/4 Get more help from Chegg Solve it with our calculus problem solver and calculatorQuadrants The Cartesian coordinate plane is made up of four quadrants that starts at Free Online Scientific Notation Calculator Solve advanced problems in Physics, Mathematics and Engineering Math Expression Renderer, Plots, Unit Converter, Equation Solver, Complex Numbers, Calculation History



Frac 9 Pi 8 Frac 9 4



10 3 Polar Coordinates Mathematics Libretexts
Solve the composite trig function, solve the inside first for the tangentAnswer to How do you find tan(9pi/4)?Get stepbystep solutions from expert tutors as fast as 1530 minutes Your first 5 questions are on us!



3



1 Point Evaluate The Integrals For F X Shown In Chegg Com
Coterminal Angle Calculator is a free online tool that displays the positive and negative coterminal angles for the given degree value BYJU'S online coterminal angle calculator tool makes the calculation faster and it displays the coterminal angles in a fraction of secondsQuestion Find the exact value of the given trigonometric function Do not use a calculator cos 9pi/4 I need to determine the angle that equals 9pi/4 when added to 2pi The answer is pi/4 but I can not figure out how that is Misc 12 Prove 9π/8 – 9/4 sin−1 1/3 = 9/4 sin−1 (2√2)/3 Solving LHS 9π/8 – 9/4 sin−1 1/3 = 9/4 (𝝅/(𝟐 )−"sin−1 " 𝟏/𝟑) = 9/4 "cos−1 " 𝟏/𝟑 Using sin1x cos−1x = 𝝅/𝟐 cos1x = 𝜋/2 – sin−1x Replace x by 1/3 cos1 1/3 = 𝜋/2 – sin−1 1/3 We convert cos−1 to



Solved Points In Polar Coordinates Determine Whic



Solution Topic Graphing Trip Functions What Is Y 3sin X Pi 4 1 On A Graph
Trigonometry questions and answers The Point P (x, Y) On The Unit Circle That Corresponds To A Real Number T Is Given Find The Question The Point P (x, Y) On The Unit Circle That Corresponds To A Real Number T Is Given Find The Values Of The Indicated Trigonometric Function At T 33 4 12) Find Cos TFinding the arcsine of the sine of an angle 10Answers #1 5 Find the reference angle of 9pi/4= pi/4 radians Guest



What Is The Angle Between 0 Radians And 2p Radians That Is Coterminal To The Given Angle 9pi 4 Socratic



1
Find The Rectangular Coordinates Of The Point (7,9pi/4) This problem has been solved!For polar coordinates, the point in the plane depends on the angle from the positive xaxis and distance from the origin, while in Cartesian coordinates, the point represents the horizontal and vertical distances from the originFor each point in the coordinate plane, there is one representation, but for each point in the polar plane, there are infinite representationsAir TutorsQuestion Find the exact value of tan(9pi/4)



Tan 6pi Cos 9pi 4 Youtube



Misc 12 Chapter 2 Inverse Trigonometry Prove 9pi 8 9 4
Question what ordered pair lies on the unit circle corresponding to 9pi/4 Answer by jim_thompson5910 () ( Show Source ) You can put this solution on YOUR website! without a calculator, evaluate cos(9pi/4) PLEASE give an explanation, i know the answer already from using my calculator but im so confused of how to get it without one, which is sadly what my homework assignment is calling for please help!Popular Problems Trigonometry Find the Reference Angle (9pi)/4 9π 4 9 π 4 Find an angle that is positive, less than 2π 2 π, and coterminal with 9π 4 9 π 4 Tap for more steps Subtract 2 π 2 π from 9 π 4 9 π 4 9 π 4 − 2 π 9 π 4 2 π The resulting angle of π 4 π 4 is positive, less than 2 π 2 π, and coterminal with 9



3 Dfrac 9pi 4 S0luti0n See How To Solve It At Qanda



9pi 4 Radians In Degrees All Information Best Calculator More
By signing up, you'll get thousands of stepbystep solutions to your homework questions You can alsoBy signing up, you'll get thousands of stepbystep solutions to your homework questions You can also askThe exact value of sec(π 4) sec ( π 4) is 2 √2 2 2 Multiply 2 √2 2 2 by √2 √2 2 2 Combine and simplify the denominator Tap for more steps Multiply 2 √ 2 2 2 and √ 2 √ 2 2 2 Raise √ 2 2 to the power of 1 1 Raise √ 2 2 to the power of 1 1



Cochranmath Coterminal And Reference Angles



Turn Angle Wikipedia
Welcome to Sarthaks eConnect A unique platform where students can interact with teachers/experts/students to get solutions to their queries Students (upto class 102) preparing for All Government Exams, CBSE Board Exam, ICSE Board Exam, State Board Exam, JEE (MainsAdvance) and NEET can ask questions from any subject and get quick answers by405 degrees 9pi/4 radians 675 degrees 15pi/4 radians 30 degrees pi/6 radians 150 degrees 5pi/6 radians 210 degrees9pi/4 2pi = 9pi/4 8pi/4 = pi/4 The reference angle is pi/4 Use a unit circle to see that cos (pi/4) = sqrt (2)/2 and sin (pi/4) = sqrt (2)/2 Therefore, the



Sin 9pi 4 Youtube



Ehhs Precalculus September 15
Im so lost and i used to be so good at this last year/" in 📘 Mathematics if you're in doubt about the correctness of the answers or there's no answer, then try to use the smart search and find answers to the similar questionsAnswer to Determine 2 coterminal angles (1 positive and one negative), give the answer in radians 9pi/4 By signing up, you'll get thousands of



How Do You Determine The Quadrant In Which 9pi 8 Lies Socratic



Cosine Graph Transformation Lession
Solve your math problems using our free math solver with stepbystep solutions Our math solver supports basic math, prealgebra, algebra, trigonometry, calculus and moreFind the exact value of each trigonometric function a) cos 9pi/4 b) sin (9pi/4) c) cot (5pi/4) d) cot (pi/4 17pi) check_circleEvaluate the Following `Tan^1(Tan (9pi)/4)` Department of PreUniversity Education, Karnataka PUC Karnataka Science Class 12 Textbook Solutions Important Solutions 984 Question Bank Solutions Concept Notes & Videos 470 Syllabus Advertisement Remove all ads



What Radian Measure Is Equivalent To 160 Degrees A 4pi 9 B 9pi 4



10 3 Polar Coordinates Mathematics Libretexts
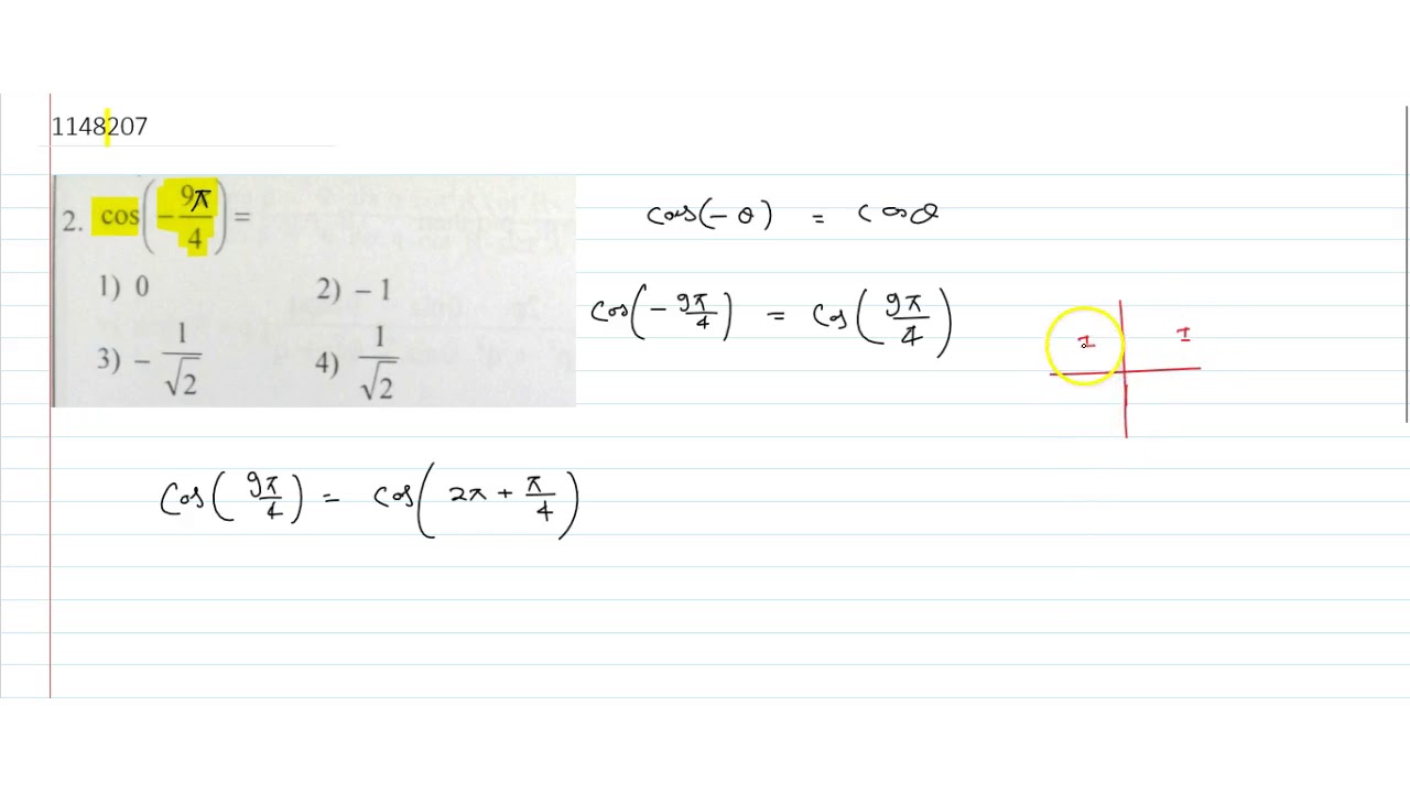
To ask Unlimited Maths doubts download Doubtnut from https//googl/9WZjCW `cos((9pi)/4)=`Create your account View this answer We are to graph 9π 4 9 π 4 in



Trig Coterminal Angles Which Of The Following Are Coterminal



Sin 9pi 4 Tan 9pi 4 Youtube



How To Evaluate For Secant Of A Negative Angle Using Period As An Aide Youtube



What Is An Angle Between 0 And 2pi That Is Coterminal With 9pi 4 Homeworklib



Identify The Quadrant For Each Angle 10pi 3 9pi 4 Chegg Com



Cos 9pi 4 Youtube



Evaluate Cos 9pi 4 Brainly In



Trigonometric Functions Of Any Angle Trigonometry Socratic



When F X Is The Function Whose Graph Is Shown In Chegg Com



Solutions For Polar Coordinates Precalculus Ii



Linkage Map For Btx623 9 Pi Cross In F 2 Population Download Scientific Diagram



What Is The Area Bounded By The Curves X 2 Y 2 9 And 4x 2 9y 2 36 On The First Quadrant Quora



14 2 Glr09 Vecfunc Derivs Html



Michael Fogleman This One Always Blew My Mind The Leibniz Formula For P 1 1 3 1 5 1 7 1 9 Pi 4 So This Python Code Approximates Pi T Co Lejebdtg28 T Co 1zbdzjlno7



Cochranmath Coterminal And Reference Angles



Please Help The Area Of The Shaded Sector Is 9 Pi Square Feet A Circle A Shaded Sector Has An Brainly Com



Int Sin 2 9pi 8 X 4 Sin 2 7pi 8 X 4 Dx



Webpage Of Dr Tom Cuchta



Answered 4 2 39 Question Help Find The Exact Bartleby



Solve For The Area Answer Should Be 9pi 4 Chegg Com



Cochranmath Coterminal And Reference Angles



Sin 1 Sin 9pi 8 Youtube



Find Theta Given 2 Cos Theta Root 2 And Pi 2 Chegg Com



2



Inverse Trigonometric Functions Math 126 Precalculus Openstax Cnx



Trigonometry Flashcards Quizlet



Answered Find The Exact Value Of Each Bartleby



1



Plot The Point Given In Polar Coordinates 2 Chegg Com



Graph Frac 9 Pi 4 In Standard Position Study Com



Z 1 Squareroot 3 Cos 7pi 4 I Sin 7pi 4 Z 2 Chegg Com



Misc 12 Chapter 2 Inverse Trigonometry Prove 9pi 8 9 4



Www Wyzant Com Resources Answers Trigonometry Solving For X On An Interval



Cochranmath Coterminal And Reference Angles



Find Exact Value Of Tan9pi 4 Youtube



Cochranmath Coterminal And Reference Angles



Answered How To Find The Reference Number When Bartleby



Calculus 2 Compute The Line Chegg Com



What Is The Cartesian Form Of 6 9pi 2 Socratic



Cos 9pi 4 Youtube



How Do You Determine The Quadrant In Which 9pi 8 Lies Socratic



In What Quadrant Does The Angle Whose Measure Is 9pi 4 Terminate Study Com



Evaluate Each Of The Following Tan 1 Tan 9pi 4 Ii



Trigonometry Angle Questions With Answers



Sin 9pi 4 Tan 9pi 4 Youtube



Calc I Integrate Trig Function From 9pi 2 To 9pi 2 Youtube



What Radian Measure Is Equivalent To 160 Degrees A 4pi 9 B 9pi 4



9pi 2 Convert Each Angle In Radians To Degrees Youtube



Determine 2 Coterminal Angles 1 Positive And One Negative Give The Answer In Radians 9pi 4 Study Com



The Unit Circle Ck 12 Foundation



Polar Coordinates Algebra And Trigonometry



Identify The Point X Y On The Unit Circle That Corresponds To T Frac 9 Pi 4 Study Com



The Exact Value Of Cot 9pi 4 Equals Brainly Com



Misc 1 Prove 2cos Pi 13 Cos 9pi 13 Cos 3pi 13 Cos 5pi 13



Csc 9pi 2 Youtube



Solutions For Polar Coordinates Precalculus Ii



Answered Find The Exact Value Of Each Bartleby



Trigonometry Geometry Of Plane And Space Springerlink



Cochranmath Coterminal And Reference Angles



What Radian Measure Is Equivalent To 160 Degrees A 4pi 9 B 9pi 4



13 Arcsin Sin 9pi 10 Youtube



For The Graph Above Identity Four Different Chegg Com



The Polar Coordinate System Precalculus Socratic



The Value Of Int 0 9pi 4 Sinx Cosx Dx Int 1 5



Polar Coordinates Algebra And Trigonometry



Prove That 9pi 8 Sin 1 1 3 9 4sin 1 2root2 3 Maths Inverse Trigonometric Functions Meritnation Com



9pi 8 9 4 Sin 1 1 3 9 4 Sin 1 2sqrt 2



Tan 11pi 3 2sin 9pi 3 3 4cosec 2 Pi 4 4cos 2 17pi 6 3 2sqrt 3 2



Arrange The Steps In The Correct Order To Solve Sin 3pi 4 Cos Pi 12 Brainly Com



A Circle Has A Chord That Goes From Pi 4 To Pi 2 Radians On The Circle If The Area Of The Circle Is 9 Pi What Is The Length Of The Chord Socratic



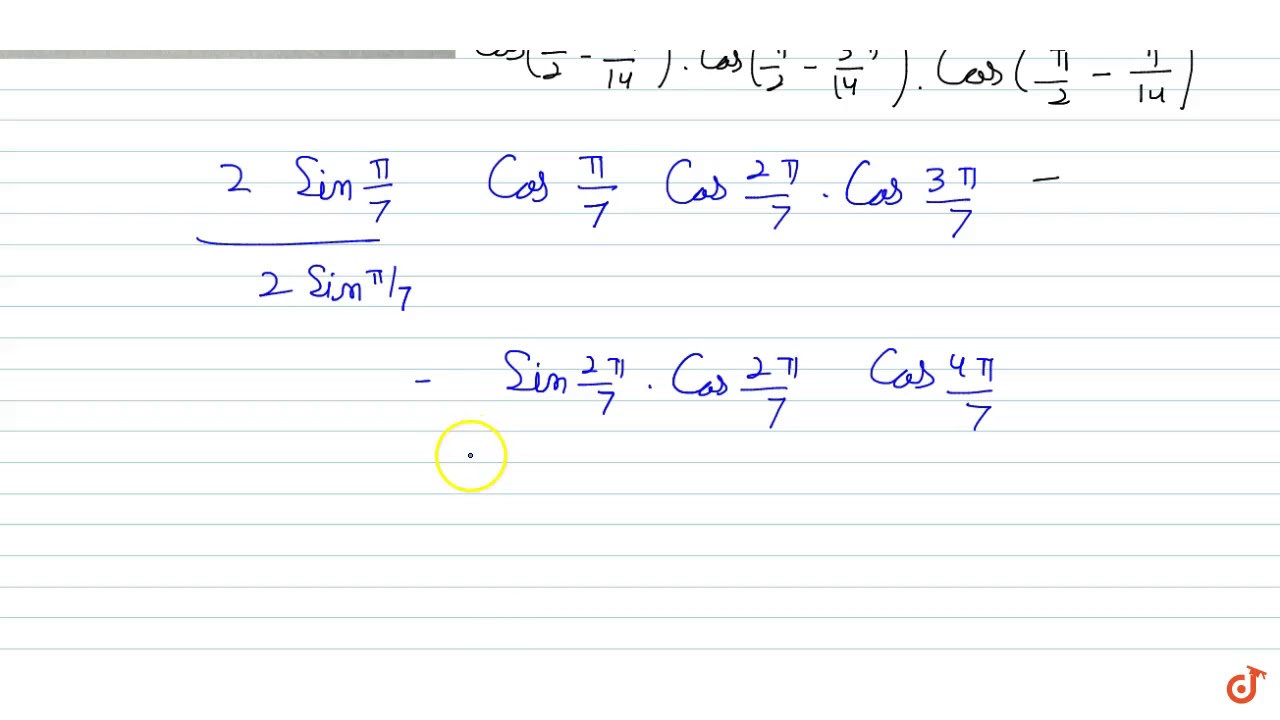
Sin 9pi 14sin 11pi 14sin 13pi 14 Is Equal To Youtube



Cos 9pi 4 Youtube



2



Solved Evaluate The Trigonometric Function Using



1



Sin 9pi 4 Youtube



Trigonometry Angle Questions With Answers



Find Coterminal Angles

コメント
コメントを投稿